El próximo 09 de septiembre, el Departamento de Química del CUCEI reanuda las actividades del Seminario de Química con la participación especial del Dr. en C. Nazario López del Massachusetts Institute of Technology, Department of Chemistry.
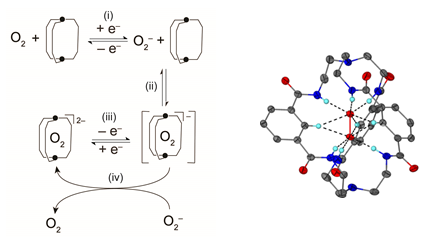
En esta ocasión el experto en Síntesis y caracterización de agregados supramoleculares y polímeros de coordinación novedosos con propiedades magnéticas y conductoras, en su ponencia describirá la reducción reversible de oxígeno a peróxido dianión (O2)2-.
El dianión es estabilizado mediante enlaces fuertes de hidrógeno a grupos N–H de los criptandos hexacarboxamida. Estos aductos pueden obtenerse mediante la reacción de disproporción de KO2 que es asistida por el criptando mismo, o mediante la reducción de O2 con agentes reductores como es el caso de CoCp2. O2 puede generarse de manera cuantitativa mediante la oxidación del aducto de peróxido al ser tratado con DDQ (DDQ = 2,3-Dicloro-5,6-diciano-1,4-benzoquinona).
Además, estos aductos pueden ser generados de manera electroquímica mediante la reducción de O2 en el cátodo en presencia de criptando. Los aductos de peróxido pueden obtenerse en alto rendimiento en una reacción de un solo paso y son solubles en DMF, DMSO y THF; por estas razones pueden ser utilizados como una fuente soluble de peróxido para reacciones variadas.
Por ejemplo, el aducto de peróxido puede realizar transferencia de átomo de oxígeno a phosphinas, puede oxidar CO resultando en un aducto de carbonato y H2O2 puede obtenerse mediante el tratamiento del aducto con una fuente de protones.
La cita será en el auditorio Ing. Antonio Rodríguez del Centro Universitario de Ciencias Exactas e Ingenierías a las 16:00 hrs.
